MEDICAL CANNABIS
A SHORT GRAPHICAL HISTORY
EGYPT

Berlin Papyrus 3038 (1,300 BC)


According to one article [1]:
“[The Berlin Papyrus No. 3038] . . . It is 5.16 m long and 20 cm high including 21 columns in the observe and two in the back. It was found inside an earthen vessel, buried 10 feet deep in the desert near Sakkara by Passalacqua, together with a judicial record of the time of Ramses II (c. 1350 BC).”
Most Egyptologists also set the date of the papyrus at only around 1,300 BC. Thus while far from the oldest known reference to Medical Cannabis, it is interesting to note that here [prescription No. 81] shows that it was being used in an external anti-fever/inflammation ointment.

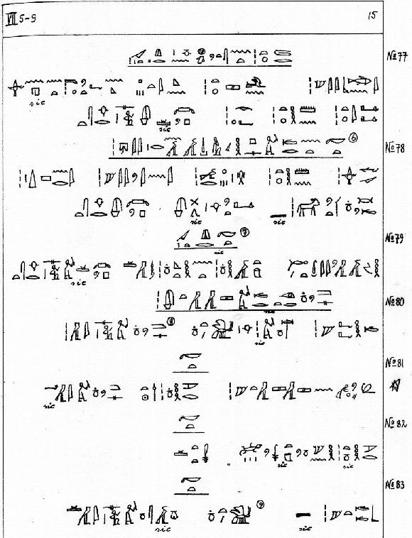
The following pictures/plates are taken from the 1909 German Language book -- Der grosse medizinische Papyrus des Berliner Museums (Pap. Berl. 3038) in Facsimile und Umschrift By Von Walter Wreszinski


Papyrus Berlin No. 3038 (1300 BC)
Berlin Sheet 7 line 8 prescription No. 81 -
the Berlin Museum
Prescription No. 81]

Papyrus Berlin
Page 15 -- Der grosse medizinische Papyrus des Berliner Museums
By Von Walter Wreszinski


Formula-81
Plate 7, Line 8, Prescription No. 81


Papyrus Berlin
Plate 7 of the Berlin Papyrus No. 3038


Medical Cannabis
Medical Cannabis




FOOTNOTES:
[1]-
International Journal of Colorectal Diseases (1995) 10:229-231 By L. Viso i, J. Uriach





WANT TO KNOW MORE:
=====================

Due to space / download time considerations, only selected materials are displayed. If you would like to obtain more information, feel free to contact the museum. All our material is available (at cost) on CD-Rom format.
CONTACT PAGE




EGYPT
Left Arrow
Back to the
Last Section

 
greencross
BACK TO
MAIN SECTION

 
EGYPT
Right Arrow
On to the
Next Section